Tradycyjnym akcentem Dni Kwidzyna było wręczenie dorocznych Nagród Burmistrza Kwidzyna za szczególne osiągnięcia w dziedzinie sportu i upowszechniania kultury, Nagród Burmistrza Miasta Kwidzyna "Człowiek Roku" oraz wyróżnień Przewodniczącego Rady Miejskiej w Kwidzynie "Firma Roku". Miejski serwis internetowy
(
http://www.kwidzyn.pl/portal.php?aid=ne ... f51cb6f3bb ) podaje nieco inna kolejność plus jeszcze inne wyróżnienia.
„Człowiek roku” jest w dwóch osobach: Jacek Borcuch i Bogusław Franckowski.
„Firmy roku” – trzy.
Nagród i wyróżnień w dziedzinie upowszechniania kultury: siedem (lista pod podanym linkiem)
Nagrody i wyróżnienia w dziedzinie sportu: siedemnaście.
Rozkład przyznanych nagród i wyróżnień wyraźnie wskazuje na sportowe preferencje (Burmistrza ? konsultantów ? kapituły nagrody?).
Nie jest znana lista wszystkich podmiotów nominowanych do wyróżnień, więc nie wiadomo , jakie zostały odrzucone.
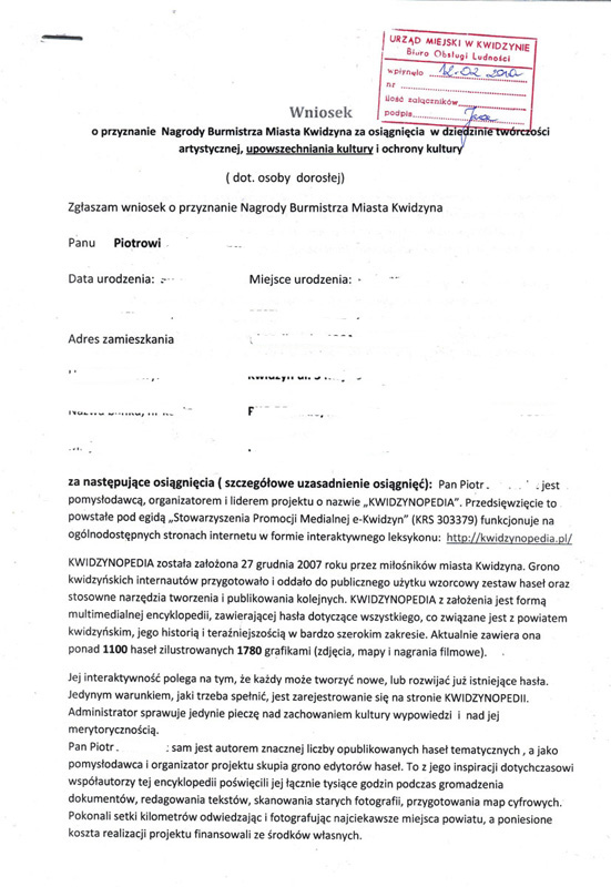
Wiem tylko o jednej oddalonej nominacji do wyróżnienia (czyli wniosek do Burmistrza, który zgodnie z regulaminem nagród może złożyć każdy), dotyczącej
Kwidzynopedii, która jak widać nie znalazła uznania kogo trzeba.
Złożyłem ten wniosek w stosownym terminie z uzasadnieniem. Upomniałem się o wyróżnienie kandydatury Piotra J. jako organizatora i lidera grupy redagującej ten internetowy leksykon.
Broń Boże, nie jest moim zamiarem kwestionowanie podjętych decyzji, nienależących wszak do szeregowego obywatela, ale po prostu żal, że nie dostrzeżono tego przedsięwzięcia znanego już nie tylko w Kwidzynie, a jak ostatnio mogłem się przekonać jest ono popularne zwłaszcza wśród kwidzyniaków żyjących już w innych miastach.
Juror nagrody, albo jurorzy może nie zaglądają do internetu? A może właśnie zaglądają?
